參考答案!2025年四川省高考語文及全科答案解析匯總
2025年四川省高考于6月7日至9日舉行,采用“3+1+2”模式,其中語文、數學、英語三科使用全國新高考II卷,物理、歷史、化學、生物、政治、地理六科由四川省自主命題。以下為九科考試時間、真題解析及參考答案,考生可根據自己的所選科目進行對照估分!
一、2025年四川省語文答案及真題試卷解析
考試時間:2025年6月7日9:00-11:30
參考答案及真題解析:
作文題目已公布:
閱讀下面的材料,根據要求寫作。(60分)
“昨夜閑潭夢落花”“我欲因之夢吳越”“鐵馬冰河入夢來”……夢往往以一種獨特的方式呈現我們的感受和期冀,為我們打開更浩瀚的天空。我們也常常向別人講述自己的夢,用文字記錄自己的夢,以行動實現自己的夢。
如果有一天,我們能夠將夢贈予他人……
以上材料引發了你怎樣的聯想和思考?請寫一篇文章。
要求:選準角度,確定立意,明確文體,自擬標題;不要套作,不得抄襲;不得泄露個人信息;不少于800字。









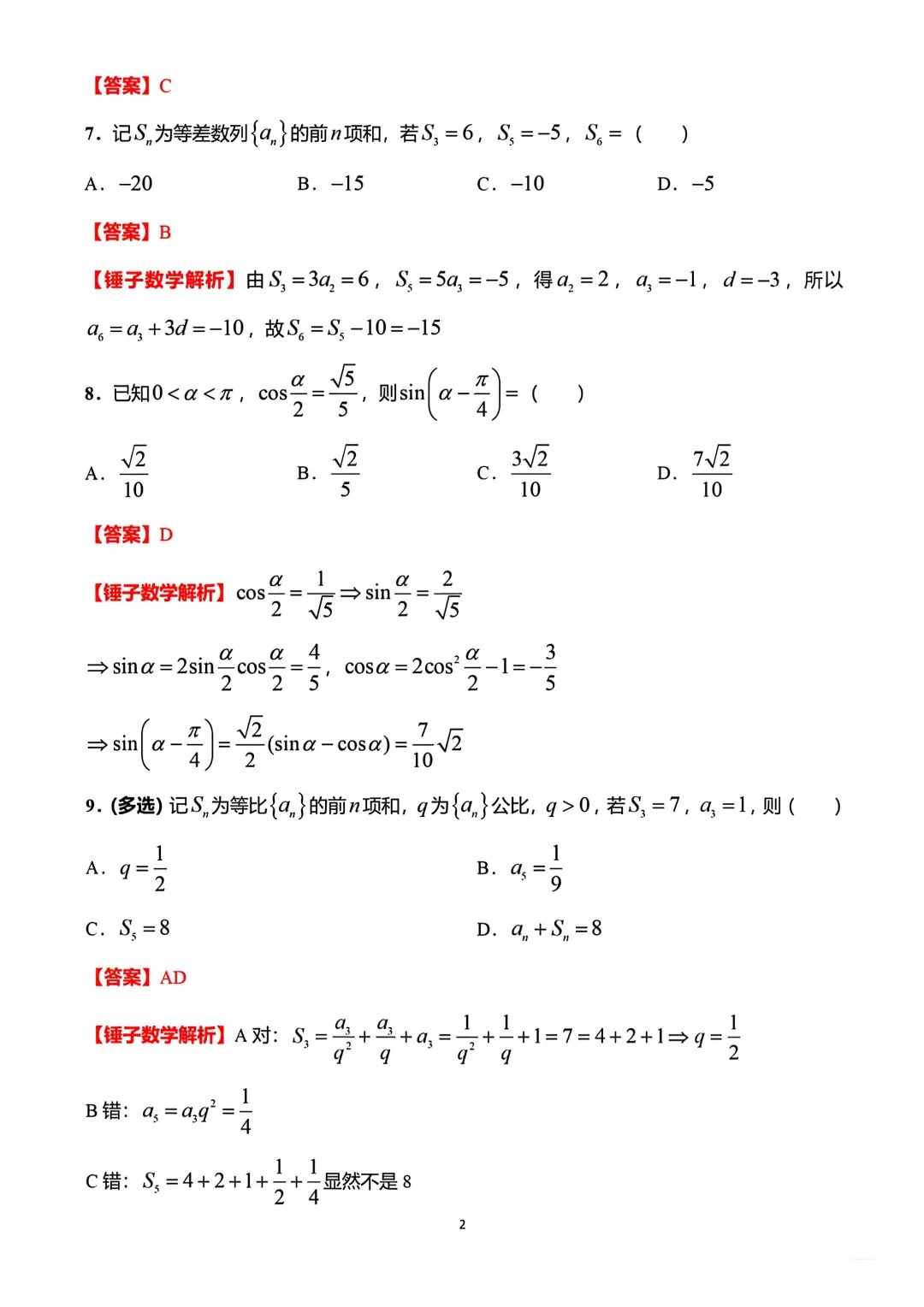
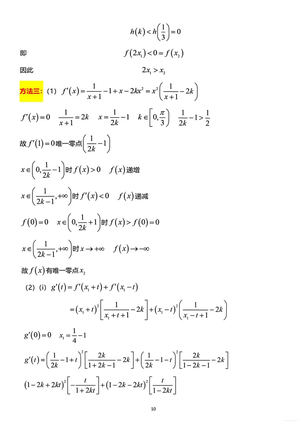
二、2025年四川省數學答案及真題試卷解析
考試時間:2025年6月7日15:00-17:00
參考答案及真題解析:


















三、2025年四川省英語答案及真題試卷解析
考試時間:2025年6月8日15:00-17:00參考答案及真題解析:
聽力部分涵蓋日常生活對話,如旅游建議、健康咨詢等。例如,對話一要求考生根據“參觀大熊貓基地”的描述選擇正確選項。
閱讀理解聚焦低碳城市、在線教育等議題。A篇要求考生概括低碳城市的核心目標,需結合文本中“減少碳排放、促進可持續發展”的表述。
寫作部分以“推薦四川旅游景點”為題,要求考生根據英國友人Tom的計劃,結合自身經歷推薦成都、九寨溝等景點,并說明文化或自然特色。
該科目官方答案及真題試卷將在考試結束后進行公布!
四、2025年四川省物理答案及真題試卷解析
考試時間:2025年6月8日9:00-10:15
參考答案及真題解析:

該科目官方答案及真題試卷將在考試結束后進行公布!
五、2025年四川省化學答案及真題試卷解析
考試時間:2025年6月9日8:30-9:45
參考答案及真題解析:
選擇題覆蓋原子結構、化學反應速率等核心考點。例如,第2題要求考生分析溫度對反應速率的影響,正確答案為“溫度越高,反應速率越快”。
填空題側重化學平衡、氧化還原反應等概念。例如,需考生填寫“化學平衡狀態下正逆反應速率相等”。
實驗題要求考生設計探究鹽酸濃度與鋅反應速率的實驗,需明確控制變量法及數據記錄方式。
該科目官方答案及真題試卷將在考試結束后進行公布!
六、2025年四川省生物答案及真題試卷解析
考試時間:2025年6月9日17:00-18:15
參考答案及真題解析:
選擇題涉及細胞結構、遺傳信息傳遞等基礎內容。例如,第1題要求考生辨析細胞膜成分,正確答案為“脂質和蛋白質”。
簡答題考查生態系統穩定性、植物激素作用等綜合知識。例如,需考生分析光合作用與呼吸作用的能量轉化關系。
分析題要求考生結合種群數量變化模型,闡述生態系統的抵抗力穩定性與恢復力穩定性。
該科目官方答案及真題試卷將在考試結束后進行公布!
七、2025年四川省歷史答案及真題試卷解析
考試時間:2025年6月8日9:00-10:15
參考答案及真題解析:
選擇題覆蓋四川地方史、中國近現代史等。例如,第1題要求考生識別古代四川水利工程,正確答案為“都江堰”。
簡答題聚焦四川在抗日戰爭中的貢獻,需考生結合“后方基地”“戰略轉移”等關鍵詞分析其歷史地位。
論述題要求考生從地理位置、資源優勢等角度,分析四川近現代發展的機遇與挑戰。
該科目官方答案及真題試卷將在考試結束后進行公布!
八、2025年四川省地理答案及真題試卷解析
考試時間:2025年6月9日11:00-12:15
參考答案及真題解析:
選擇題涉及地球運動、水循環等自然地理內容。例如,第1題要求考生分析地球自轉線速度的分布規律,正確答案為“赤道最大”。
綜合分析題要求考生結合氣溫、降水分布圖,分析區域氣候特征及影響因素。例如,需考生從緯度、海陸位置等角度解釋1月與7月氣溫差異。
該科目官方答案及真題試卷將在考試結束后進行公布!
九、2025年四川省政治答案及真題試卷解析
考試時間:2025年6月9日14:30-15:45
參考答案及真題解析:
選擇題覆蓋我國政治制度、經濟發展新常態等核心考點。例如,第1題要求考生識別中國特色社會主義制度的本質特征,正確答案為“中國共產黨領導”。
簡答題聚焦新時代社會主要矛盾,需考生結合“不平衡不充分發展”提出解決路徑,如深化改革、創新驅動等。
論述題要求考生分析中國外交政策調整對全球治理的影響,需結合“人類命運共同體”理念展開論述。
該科目官方答案及真題試卷將在考試結束后進行公布!
(責任編輯:劉濤)
特別說明:由于各省份高考政策等信息的不斷調整與變化,育路高考網所提供的所有考試信息僅供考生及家長參考,敬請考生及家長以權威部門公布的正式信息為準。




