2025年海南新高考二卷英語及全科試卷真題答案更新
2025年海南新高考采用“3+3”模式,考生需參加語文、數學、外語統考,以及物理、化學、生物等選考科目。其中語文、數學、外語采用新高考二卷,由教育部統一出題,首選科目及再選科目由海南省自主命題。本文將為考生整理全科試卷真題及答案解析,為考生提供精準參考!
一、2025年海南新高考二卷語文試卷真題及答案解析
考試時間:6月7日9:00-11:30
作文題目已更新:
閱讀下面的材料,根據要求寫作。(60分)
“昨夜閑潭夢落花”“我欲因之夢吳越”“鐵馬冰河入夢來”……夢往往以一種獨特的方式呈現我們的感受和期冀,為我們打開更浩瀚的天空。我們也常常向別人講述自己的夢,用文字記錄自己的夢,以行動實現自己的夢。
如果有一天,我們能夠將夢贈予他人……
以上材料引發了你怎樣的聯想和思考?請寫一篇文章。
要求:選準角度,確定立意,明確文體,自擬標題;不要套作,不得抄襲;不得泄露個人信息;不少于800字。









本場考試的結束時間為11:30!試卷真題和答案解析將在考試結束后盡快更新,請考生及時關注本文最新內容!
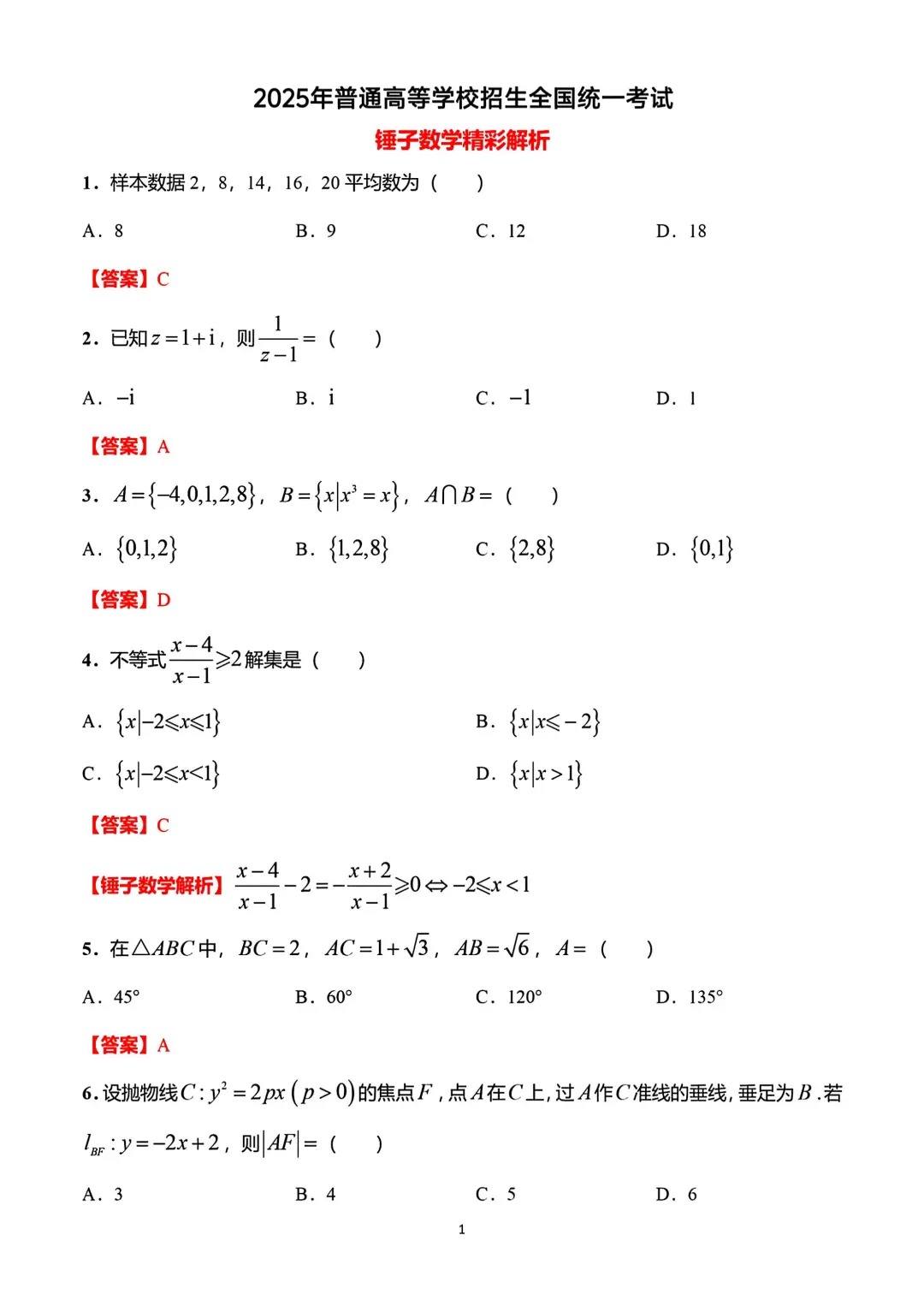
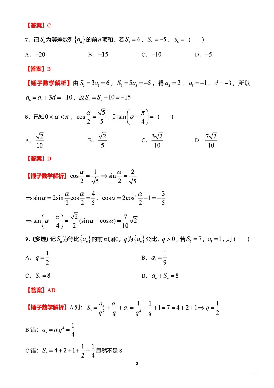
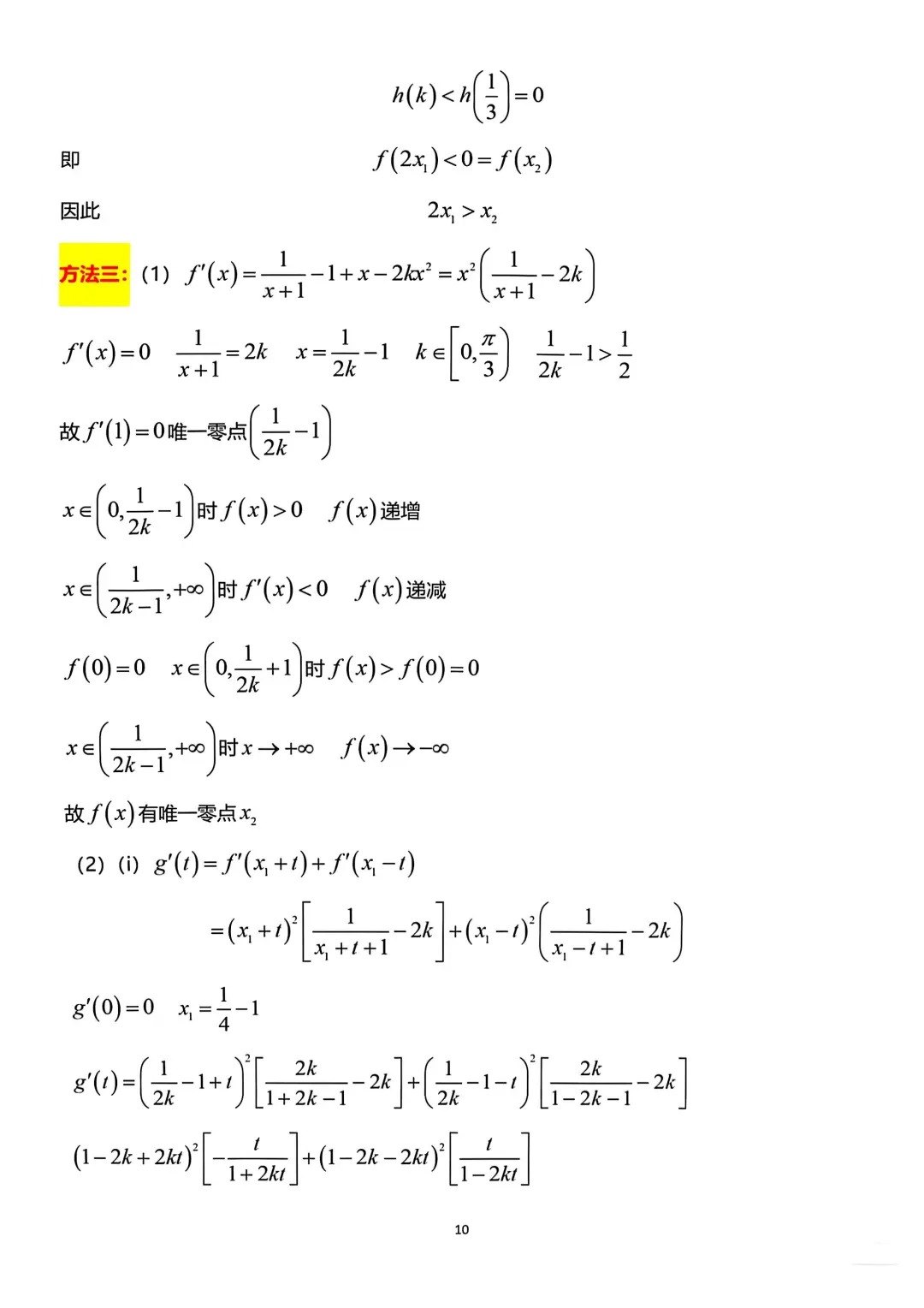
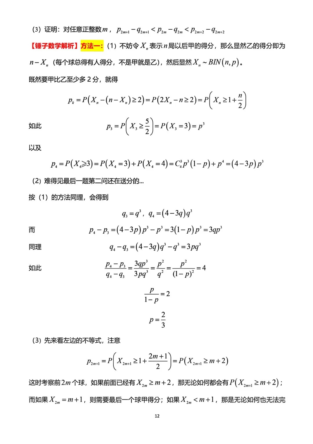
二、2025年海南新高考二卷數學試卷真題及答案解析
考試時間:6月7日15:00-17:00


















本場考試的結束時間為17:00!試卷真題和答案解析將在考試結束后盡快更新,請考生及時關注本文最新內容!
三、2025年海南新高考二卷外語(英語)試卷真題及答案解析
考試時間:6月8日15:00-17:00
本場考試的結束時間為 17:00!試卷真題和答案解析將在考試結束后盡快更新,請考生及時關注本文最新內容!
四、2025年海南物理/歷史試卷真題及答案解析
1.物理考試時間:6月9日8:00-9:30
物理模擬試題 1:
海南某新能源汽車工廠的電池生產線,使用 5G 技術實現生產效率提升 20%。若原生產線每小時生產 200 塊電池,求升級后每小時的產能。
答案解析:升級后產能 = 200×(1+20%)=240 塊 / 小時(公式 2 分,計算 3 分)。
2.歷史考試時間:6月10日8:00-9:30
歷史模擬試題 1:
分析海南建省對改革開放的歷史意義。
答案解析:意義包括打破省級經濟特區空白(2 分)、推動制度創新(2 分)、促進區域經濟發展(2 分)。建省后海南實際利用外資 75.47 億美元(1988-1997 年),人均利用外資全國第二。
本場考試的結束時間為 10:15!試卷真題和答案解析將在考試結束后盡快更新,請考生及時關注本文最新內容!
五、 2025年海南化學/地理/政治/生物試卷真題及答案解析
政治考試時間:6月9日11:00-12:30
化學考試時間:6月9日15:30-17:00
生物考試時間:6月10日11:00-12:30
地理考試時間:6月10日15:30-17:00
本場考試的結束時間為 17:00!試卷真題和答案解析將在考試結束后盡快更新,請考生及時關注本文最新內容!
六、考后行動建議
科學估分:避免直接看答案,先獨立重做試題,減少記憶偏差。參考評分細則估算分數,誤差控制在 ±15 分以內。
了解政策:了解海南省“3+3”模式的錄取規則,如物理類與歷史類的專業組差異。參考2024年分數線:本科批483分,合理定位目標院校。
志愿填報準備:根據估分范圍,篩選“沖、穩、保”三類院校。關注海南省教育考試院官網及目標院校招生章程,避免因單科成績、體檢要求等退檔。
2025 年海南新高考二卷的全科解析將持續更新,考試結束后,建議優先完成志愿填報準備工作,同時合理規劃假期生活。
(責任編輯:劉濤)
特別說明:由于各省份高考政策等信息的不斷調整與變化,育路高考網所提供的所有考試信息僅供考生及家長參考,敬請考生及家長以權威部門公布的正式信息為準。




