
快速擇校

政策解讀
010-51291557
客服熱線:8:00-20:00
2025年河南將進行首屆新高考,再選科目“生物、化學、政治、地理”將采用賦分制計分,即先將原始分數按照等級轉換公式轉換為等級分,再將其計入高考總分。其中等級轉換的方法主要使用的等級表區間換分法。

河南新高考“3+1+2”模式具體指:
“3”為語文、數學、外語三門全國統一高考科目,每門滿分150分,其中外語科目滿分150分,包括聽力部分30分和筆試部分120分(2025年、2026年聽力成績暫不計入總分,外語成績以筆試成績的1.25倍計入;從2027年起,聽力成績計入總分)。
“1”為首選科目,考生需在物理、歷史兩門科目中選擇一門作為首選考試科目,滿分100分,使用原始成績計入總成績。
“2”為再選科目,考生需在化學、生物學、思想政治、地理四門科目中選擇兩門作為再選考試科目,每門滿分100分,以等級轉換分計入總成績。
等級賦分是河南新高考改革中的一項重要舉措,旨在解決不同科目之間難度差異和考生群體不同導致的原始分不可比問題。
而等級賦分的轉換方法為區間換分法,本質上就是比照等級賦分表,取分數對應的表格區間數值代入公式即可。具體規則如下:
劃分等級:首先,將各選考科目的考生按照原始分從高到低進行排序,然后根據考生原始分的統計分布,按一定的人數比例將該選考科目考生群體劃分為A、B、C、D、E五個等級。
各等級人數所占比例分別約為15%、35%、35%、13%和2%。
等級賦分:在劃分等級后,進行等級賦分。等級分數的滿分值為100分,起點分值為30分。從A至E每個等級按照1分1檔的分數間隔進行連續賦分,各個等級的等級賦分區間從15分到11分不等。
具體來說,A等級對應100~86分,B等級對應85~71分,C等級對應70~56分,D等級對應55~41分,E等級對應40~30分。
下面是具體的等級賦分表:

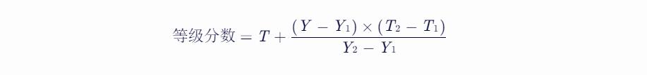
等級賦分的計算采用等比例轉換方法,具體公式如下:

其中:
Y1、Y2 分別表示某等級所對應原始分數區間的下限和上限。Y 表示某考生的原始分數。T1、T2 分別表示等級賦分區間的下限和上限。T 表示考生的等級分數。
根據這個公式,結合每個考生的原始分數及其所在等級的等級賦分區間,可以計算出每個考生的等級分數。
推薦閱讀
本站覆蓋全國各省市專本科院校及計劃外招生院校,匯總各校招生要求及專業信息,如您今年尚未被任何院校錄取,請自愿填寫下表,我們將在全國范圍內篩選適合您就讀的大學,安排校方老師與您溝通。即刻報名,圓大學夢!

2024年河南結束了以往的傳統高考模式,2025年正式迎來首屆新高考政策,采勸3+1+2”模式。與傳統高考模式相比,“3+1+2”高考模式實行賦分制。6門學科中...
報名咨詢電話:010-51291557
高校招生網
評論0
“無需登錄,可直接評論...”